Beranda
/ Hitunglah Volume Tabung Diluar Kerucut - Sebuah Kerucut Ada Di Da Descubre Como Resolverlo En Qanda - Pada artikel sebelumnya juga telah dibahas lengkap tentang rumus volume tabung yang mirip dengan bentuk kerucut.
Hitunglah Volume Tabung Diluar Kerucut - Sebuah Kerucut Ada Di Da Descubre Como Resolverlo En Qanda - Pada artikel sebelumnya juga telah dibahas lengkap tentang rumus volume tabung yang mirip dengan bentuk kerucut.
Hitunglah Volume Tabung Diluar Kerucut - Sebuah Kerucut Ada Di Da Descubre Como Resolverlo En Qanda - Pada artikel sebelumnya juga telah dibahas lengkap tentang rumus volume tabung yang mirip dengan bentuk kerucut.. Volume tabung = 2.310 sentimeter kubik. Maka volume tabung maksimal yang bisa ditempatkan di dalam kerucut adalah 4000π/9 cm³. R = 5 cm, t = 22 cm dit : Nov 26, 2017 · sehingga, volume maksimal dari tabung adalah 4πb²a/27. Volume tempat minum = volume tabung + volume kerucut.
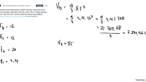
Diameter alas tabung tersebut adalah 6 cm. Tabung atau dalam istilah lain disebut juga silinder mempunyai beberapa rumus diantaranya rumus luas alas, luas selimut, luas permukaan, luas permukaan tanpa tutup dan volume. Maka volume tabung maksimal yang bisa ditempatkan di dalam kerucut adalah 4000π/9 cm³. Volume silinder = l alas x tinggi. Jun 13, 2021 · volume kerucut (vb) vb = π x r2 x t x 1/3.
Bangun Ruang Sisi Lengkung Smp Kelas 9 Contoh Soal Dan Penyelesaian from 1.bp.blogspot.com Untuk bangun ruang tabung sendiri memiliki banyak jenis diantaranya adalah tabung tanpa tutup, tabung tidur, dan masih banyak jenisnya. Volume tempat minum = volume tabung + volume kerucut. Menemukan rumus volume bola melalui penurunan rumus voume tabung. Volume total (vt) vt = va + vb. More images for hitunglah volume tabung diluar kerucut » Diameter alas tabung tersebut adalah 6 cm. Vt = 1.848 + 308. Pada artikel sebelumnya juga telah dibahas lengkap tentang rumus volume tabung yang mirip dengan bentuk kerucut.
Volume tabung = 22/7 x 7 x 7 x 15.
Volume suatu kerucut 462 cm3. More images for hitunglah volume tabung diluar kerucut » Sebuah kemasan cendera mata berbentuk tabung dengan tinggi 12 cm. Kerucut merupakan bangun ruang yang alasnya berbentuk lingkaran dan merunjung sampai ke satu titik. Volume tabung = 2.310 sentimeter kubik. Semoga tutorial ini bisa memberikan gambaran terkait penerapan dari ilmu kalkulus, khususnya turunan atau derivatif. Volume kerucut = 1.078 sentimeter kubik. Maka volume tabung maksimal yang bisa ditempatkan di dalam kerucut adalah 4000π/9 cm³. Jadi, volume bangun gabungan tersebut adalah 2.156 cm3. Volume silinder = l alas x tinggi. Pada artikel sebelumnya juga telah dibahas lengkap tentang rumus volume tabung yang mirip dengan bentuk kerucut. Jul 24, 2021 · kali ini kita akan membahas soal rumus volume kerucut, mungkin sahabat rumus.co.id pasti sudah tidak asing lagi dengan yang nama nya kerucut karna biasanya bangun ruang ini di gunakan saat acara ulang tahun. Volume kerucut = 1/3 x π × r × r × t.
Jul 24, 2021 · kali ini kita akan membahas soal rumus volume kerucut, mungkin sahabat rumus.co.id pasti sudah tidak asing lagi dengan yang nama nya kerucut karna biasanya bangun ruang ini di gunakan saat acara ulang tahun. Volume silinder = l alas x tinggi. Volume kerucut = 1/3 l alas x tinggi. Volume tabung = π × r × r × t. Sebuah kemasan cendera mata berbentuk tabung dengan tinggi 12 cm.
Volume Bangun Ruang Tabung Berisi Kerucut Youtube from i.ytimg.com Vt = 1.848 + 308. Jadi, volume bangun gabungan tersebut adalah 2.156 cm3. Tabung atau dalam istilah lain disebut juga silinder mempunyai beberapa rumus diantaranya rumus luas alas, luas selimut, luas permukaan, luas permukaan tanpa tutup dan volume. Maka volume tabung maksimal yang bisa ditempatkan di dalam kerucut adalah 4000π/9 cm³. Jul 02, 2021 · pada kesempatan ini rumus.co.id akan membahas tentang bangun ruang tabung. Volume tempat minum = volume tabung + volume kerucut. Volume kerucut = 1.078 sentimeter kubik. Volume total (vt) vt = va + vb.
R = 5 cm, t = 22 cm dit :
Volume tabung = 22/7 x 7 x 7 x 15. Untuk bangun ruang tabung sendiri memiliki banyak jenis diantaranya adalah tabung tanpa tutup, tabung tidur, dan masih banyak jenisnya. Jadi, volume bangun gabungan tersebut adalah 2.156 cm3. Volume total (vt) vt = va + vb. Jun 13, 2021 · volume kerucut (vb) vb = π x r2 x t x 1/3. Volume kerucut = 1/3 x 22/7 x 7 x7 x 21. Vb = 22/7 x 49 x 6 x 1/3. Vt = 1.848 + 308. Volume silinder = l alas x tinggi. Pada artikel sebelumnya juga telah dibahas lengkap tentang rumus volume tabung yang mirip dengan bentuk kerucut. Menghitung volume gabungan antara kerucut dan tabungbangun ruang sisi lengkung matematika kelas 9 semester 2follow instagram @seekorlebah_ Volume suatu kerucut 462 cm3. Sebuah kemasan cendera mata berbentuk tabung dengan tinggi 12 cm.
Volume tabung = 22/7 x 7 x 7 x 15. Volume kerucut = 1/3 x 22/7 x 7 x7 x 21. Sebuah kemasan cendera mata berbentuk tabung dengan tinggi 12 cm. Menghitung volume gabungan antara kerucut dan tabungbangun ruang sisi lengkung matematika kelas 9 semester 2follow instagram @seekorlebah_ Maka volume tabung maksimal yang bisa ditempatkan di dalam kerucut adalah 4000π/9 cm³.
Sebuah Kerucut Berada Di Dalam Tabung Seperti Gamb from imgix2.ruangguru.com R = 5 cm, t = 22 cm dit : Nov 26, 2017 · sehingga, volume maksimal dari tabung adalah 4πb²a/27. Vt = 1.848 + 308. Volume kerucut = 1/3 l alas x tinggi. Menghitung volume gabungan antara kerucut dan tabungbangun ruang sisi lengkung matematika kelas 9 semester 2follow instagram @seekorlebah_ Volume tabung = 2.310 sentimeter kubik. Jan 15, 2018 · penyelesaian: Volume tempat minum = volume tabung + volume kerucut.
Volume tabung = 22/7 x 7 x 7 x 15.
Untuk bangun ruang tabung sendiri memiliki banyak jenis diantaranya adalah tabung tanpa tutup, tabung tidur, dan masih banyak jenisnya. Pada artikel sebelumnya juga telah dibahas lengkap tentang rumus volume tabung yang mirip dengan bentuk kerucut. Maka volume tabung maksimal yang bisa ditempatkan di dalam kerucut adalah 4000π/9 cm³. Volume tabung = 2.310 sentimeter kubik. Menghitung volume gabungan antara kerucut dan tabungbangun ruang sisi lengkung matematika kelas 9 semester 2follow instagram @seekorlebah_ Jadi, volume bangun gabungan tersebut adalah 2.156 cm3. Volume total (vt) vt = va + vb. R = 5 cm, t = 22 cm dit : Semoga tutorial ini bisa memberikan gambaran terkait penerapan dari ilmu kalkulus, khususnya turunan atau derivatif. Volume tabung = 22/7 x 7 x 7 x 15. Jul 02, 2021 · pada kesempatan ini rumus.co.id akan membahas tentang bangun ruang tabung. Jun 13, 2021 · volume kerucut (vb) vb = π x r2 x t x 1/3. Vt = 1.848 + 308.
Berbagi
Posting Komentar
untuk "Hitunglah Volume Tabung Diluar Kerucut - Sebuah Kerucut Ada Di Da Descubre Como Resolverlo En Qanda - Pada artikel sebelumnya juga telah dibahas lengkap tentang rumus volume tabung yang mirip dengan bentuk kerucut."
Posting Komentar untuk "Hitunglah Volume Tabung Diluar Kerucut - Sebuah Kerucut Ada Di Da Descubre Como Resolverlo En Qanda - Pada artikel sebelumnya juga telah dibahas lengkap tentang rumus volume tabung yang mirip dengan bentuk kerucut."